Z życia elektronika – #6 – Wyznaczanie strat mocy na półprzewodnikach
Na rozgrzewkę:
Podczas pracy nad projektem zawierającym elementy półprzewodnikowe bardzo ważna jest analiza strat mocy na elementach półprzewodnikowych. Wspomniana analiza pomoże przy doborze odpowiedniego radiatora dla komponentów, czy odpowiedniej wielkości pola powierzchni płytki PCB zarezerwowanego do odprowadzania ciepła. Pierwszy etap analizy strat mocy, termicznej może być wykonany algebraicznie czy symulacyjnie, następnie na gotowym urządzeniu.
W tym wpisie chcę przybliżyć Ci temat analizy strat mocy podczas projektów elektronicznych wykorzystując narzędzia symulacyjne jak i pomiary fizyczne.
Zakres wpisu:
- Niezbędne pojęcia
- Wyznaczanie strat za pomocą programu symulacyjnego
- Wyznaczanie strat na modelu rzeczywistym
Wyznaczanie strat mocy za pomocą programu symulacyjnego:
Jako jeden z przykładów darmowych programów, pomocnych podczas wyznaczania strat łączeniowych, przewodzenia oraz modelu cieplnego jest GeckoCircuits. W moim przykładowym projekcie wykorzystałem tranzystory MOSFET (INFINEON IRFIZ48NPBF) oraz diody Schottky’ego (ON SEMICONDUCTOR MBR2545CTG). Do każdego elementu półprzewodnikowego wprowadzam parametry z not katalogowych.
Klikając dwa razy na tranzystor otwiera się okno z jego parametrami, tutaj wprowadzamy parametry zawarte w nocie katalogowej tj.: rezystancja przewodzenia tranzystora, spadek napięcia i rezystancja przewodzenia diody pasożytniczej.

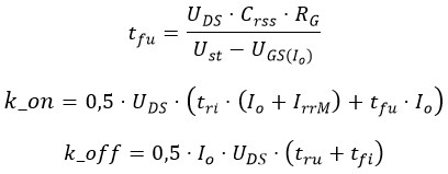
W kolejnej zakładce „Losses” wprowadzana jest wartość energii tracona przy załączaniu i wyłączaniu, wartości te wyznaczane są z następujących równań [1]:

UDS– napięcie na tranzystorze przed włączeniem; Crss- pojemność sprzężenia zwrotnego; RG- wartość rezystora bramkowego; Ust- napięcie sterujące; UGS(Io)- napięcie bramki przy ID= Io + IrrM; tri- czas narastania prądu, który wynika z czasu narastania napięcia progowego UGS(tr) do wartości równej prądowi Io + IrrM; Io- prąd obciążenia przed załączeniem; IrrM- maksymalny prąd zaworowy diody; tfu- czas opadania napięcia na tranzystorze po załączeniu; tru- czas narastania napięcia, tru=tfu; tfi- czas opadania prądu

Następnie wprowadzam parametry diody: spadek napięcia oraz rezystancję przewodzenia:

W zakładce „Losses” wprowadzam energię traconą podczas załączania (k_on) i wyłączania (k_off), korzystam z następujących wzorów [1]:

UFmax- przepięcie na diodzie w chwili początkowej przewodzenia; IFz- wartość prądu płynącego przez diodę; tpz- czas trwania przepięcia; IrrM– maksymalna wartość prądu wstecznego; (di_rr)/dt- szybkość narastania przejściowego prądu wstecznego; S– współczynnik miękkości wyłączania prądu; ta- czas do osiągnięcia maksymalnego prądu wstecznego; tb- czas do osiągnięcia ustalonego prądu wstecznego; URw- maksymalne napięcie robocze

Następnie stworzyłem model termiczny dla wspomnianych półprzewodników. Z not katalogowych odczytałem informacje dotyczące rezystancji termicznych złącze-obudowa R_JC (Junction-Case). Do modelu termicznego wprowadziłem także rezystancję termiczną radiatora (R_CA_radiator), oraz źródło symulujące temperaturę otoczenia 25oC.

Korzystając z bloczków pomiarowych „TEMP” i „FLOW” wyznaczona zostanie temperatura złącz oraz straty przewodzenia i łączeniowe tranzystora T1 oraz diody D2.

Program GeckoCircuits jest użytecznym narzędziem pomocnym podczas prac projektowych, za jego pomocą można ocenić przed wykonaniem fizycznym czy dobrane komponenty spełnią stawiane wymagania.
Wyznaczanie strat mocy na modelu rzeczywistym:
Po wykonaniu fizycznym urządzenia należy także przetestować prototyp pod kątem strat mocy. Do testowania niezbędny jest oscyloskop, sonda napięciowa jak i prądowa, oraz obciążenia. Podczas pomiarów fizycznych także analizujemy straty łączeniowe (energia tracona podczas włączania i wyłączania) oraz przewodzenia.


Na powyższych oscylogramach zarejestrowane są przebiegi napięcia Uds, prądu Id, oraz mocy podczas wyłączania tranzystora. Przebiegi napięcia i prądu zostały zmierzone wprost, lecz przebieg mocy został wymnożony za pomocą funkcji oscyloskopu.
W celu wyznaczenia strat mocy należy wyznaczyć pole pod przebiegiem mocy, jak wiemy z matematyki służy do tego całkowanie. W celu wykonania całkowania należy znać wzór funkcji, lecz podczas pomiaów laboratoryjnych jest to małoefektywne. Dlatego skorzystam tutaj z przybliżonej metody wyznaczania pola, czyli metody trójkątów.
P=0,5⋅A⋅H
A- podstawa, wyznaczamy za pomocą kursorów oscyloskopu
H- wysokość, wyznaczamy za pomocą pomiaru wartości maksymalnej
[1] Nowak M., Barlik R., „Poradnik inżyniera energoelektronika”, Warszawa, Wydawnictwa Naukowo-Techniczne, 1998, 682 s.
